#QuiCurioso - Gastronomia Molecular: A Ciência na Cozinha
Gastronomia Molecular: A Ciência na Cozinha
Escrito por: Ana Clara de Freitas
A gastronomia é um ramo de conhecimento
que envolve a culinária, o preparo de bebidas, alimentos e a utilização de
diversos materiais, estando associada também a aspectos culturais que
caracterizam e diferenciam os alimentos em determinadas regiões e no contexto
em que está inserida (MIESSA, 2003; HAUMONT,
2013).
Na década de 1980, os cientistas Hervé
This e Nicholas Kurti, extrapolaram os limites da conceituada gastronomia
clássica e começaram a estudar os fenômenos físicos e químicos que ocorriam na
culinária, durante o preparo dos alimentos. A partir dos seus estudos, é que se
definiu o conceito da Gastronomia Molecular, que consiste na “exploração dos
componentes técnicos, artísticos e relacionais da cozinha, uma prática em que
se combinam ingredientes cuja composição molecular é compatível” (MONETA E
BARBOSA, 2011, p.02).
Sendo assim, o conhecimento científico na
gastronomia molecular pode ser utilizado para aprimorar ingredientes e ou
processos de preparação de comidas que já são existentes ou para criação de
novos tipos de pratos (GIL, 2010). Segundo Moneta e Barbosa (2011, p. 08),
o
fato de a cozinha molecular incorporar novos ingredientes e tecnologias às
preparações culinárias possibilitou mudanças nas estruturas dos alimentos. Com
a cozinha molecular foram descobertas, em laboratório, novas técnicas e novos
produtos, a partir da utilização da ciência (MONETA E BARBOSA, 2011 p.08)
A partir dessa colocação dos autores, são utilizados
diversos produtos na gastronomia molecular, podemos citar alguns exemplos como:
Ágar-ágar (gelificante), Alginato de sódio, goma gelano e a metilcelulose.
·
Ágar-ágar: O
ágar é um gelificante e espessante que é apanhado das algas vermelhas Gelidium
e Gracilaria da classe Rodophyceae. O ágar permite a criação de gelatinas
quentes, uma vez que gelifica a 38 ºC e só volta a liquefazer-se (a ser líquido),
à temperatura de 85 ºC. Por conta dessa característica, também não derretem, e
não se dissolvem na boca.
Vale
ressaltar que os gelificantes são moléculas hidrofóbicas ou hidrofílicas, com
uma grande massa molar, que apresentam a propriedade de reter moléculas de
água, sendo assim mudando as características físicas do sistema onde se
encontram, dessa forma são utilizados para melhorar a consistência e
características de textura alimentos que são líquidos e semilíquidos. (MONTEIRO, 2017)
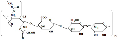
Além
disso, o ágar é uma mistura de polissacarídeos que é
composta por duas frações principais: Agarose e Agaropectina.
A agarose é uma fração gelificante, que é uma molécula linear
neutra, ela é uma substância, livre de
sulfatos, que são basicamente cadeias repetidas de unidades alternadas β-1,3
D-galactose e α-1,4 3,6-anidro-L-galactose. A
agaropectina, fração não-gelificante, é um polissacarídeo, que é um sulfatado
contendo porcentagens variadas de éster sulfato, ácido D-glucurônico, que contêm
poucas quantidades de ácido pirúvico (AGARGEL, [s/d]).
Figura
1. Estrutura do Ágar.
Fonte: AGARGEL [s/d].
·
Alginato de sódio:
é um sal do ácido algínico (C6H8O6),
polissacárido linear isolado que é extraído das algas castanhas da classe
Phaeophycaea (GIL, 2010). Alginato de sódio em sua fórmula estrutural é um
copolímero aniônico composto por dois blocos de monômeros não ramificados.
Possui dois grupos hidroxila nas posições C-2 e C-3 secundários e um grupo
carboxílico na posição C-6 (CACURO, 2019) (Figura 2).
Figura 2.
Estrutura alginato de sódio.
Fonte: MASSA
CRÍTICA (2009).
·
Goma Gelano: conhecido como goma
gelana, é um polissacárido extracelular obtido da bactéria Spingomonas elodea.
As unidades construtoras de monossacáridos do gelano,
são glucose, ácido glucurônico. São utilizados para a formação de géis e
gelatinas (GIL, 2010) (Figura 3).
Figura 3. Estrutura do gelano.
Fonte: ROCHA (2012).
· Metilcelulose: é um gelificante extraído da celulose dos vegetais, esse agente é utilizado experimentalmente em temperatura ambiente, na forma de pó branco, inodoro e sem sabor. A mistura é efetuada a frio e com forte agitação. Para hidratar deixa-se repousar, no frigorífico, a uma temperatura de 4 ºC. Em seguida aquece-se até uma temperatura de 55 ºC. Quando arrefece perde a capacidade de gel e volta a líquido. Sua fórmula estrutural apresenta os grupos carbóxilos foram substituídos por grupos metila (-CH3) (GIL, 2010) (Figura 4).
Figura 4.
Estrutura da Meticelulose.
Fonte: DIRECTO
AL PALADAR (2008).
O Ágar-ágar,
Alginato de sódio, goma gelano e a metilcelulose são usados, em algumas
técnicas comuns da gastronomia molecular, sendo elas: espumas, esferificação e gelificantes.
·
Espumas: pode-se usar sifão ou
emulsificante e um mixer. Para o sifão, se tem a mistura de suco de produto como
frutas, legumes, ou outros sabores e gelatina. Essa técnica, é também feita de
espuma de sorvete, que precisa ser derretido e peneirado, ou de merengue. E no
caso do mixer, é o suco com emulsificante e se faz a mistura (GIL, 2010) (FIGURA 5).
Figura 5: Espumas.
Foto: FOUQUET (2009).
· Esferificação: Essa técnica tem o
objetivo de colocar um líquido dentro de uma esfera, através de dois métodos:
1.
Clássico: O alginato (ácido algínico, C6H8O6) é dissolvido em água e gotejado
numa solução
de cloreto de Sódio (sal de cozinha, NaCl) para formar, pequenas
esferas (GIL, 2010).
2. Inverso: Desta vez é
adicionado o gluconato de cálcio (C12H22CaO14) ou
lactato de cálcio (C6H10CaO6), então é gotejada em uma solução de alginato
(ácido algínico, C6H8O6) (GIL, 2010).
Figura 6. Esferificação.
Foto: BOND (2019).
· Gelificantes:
usa-se
gelificantes como: ágar-ágar, metil celulose, carboximetilcelulose ou CMC. Essa
técnica permite testar, e formar várias texturas de diversos sabores (GIL,
2010).
Figura 7. Gelificantes.
Foto: DELIWAY (2021).
· Congelamento por nitrogênio líquido: A utilização do nitrogênio (N2(liq)) é feita em temperatura de -196 ºC. Essa temperatura em contato com o ar faz com que o nitrogênio evapore e crie aquela fumaça que é usada para embelezar os pratos. Também é utilizado para acelerar o resfriamento de um alimento ou produzir um sorvete em poucos minutos (GIL, 2010).
O nitrogênio
líquido tem uma grande capacidade de refrigeração preservando o sabor, cheiro e
aparência mesmo após o descongelamento (BATTAGLIA, 2018).
Figura 8. Congelamento por nitrogênio líquido.
Fonte: MSK INGREDIENT (2020).
Diante desses produtos e
técnicas apresentados, dentre tantos outros, e da vasta possibilidade que essa
gastronomia proporciona à culinária, conclui-se que a gastronomia molecular é
uma ponte que une a culinária e a ciência, envolvendo técnicas da gastronomia aprimoradas
e incorporadas por meio de conhecimentos científicos, enriquecendo o repertório
de ambas as áreas de conhecimento.
Referências Bibliográficas
AGAR-AGAR. AGARGEL, [s/d]. Disponível em: <https://agargel.com.br/agar-agar/>. Acesso em: 21 set. 2021.
BATTAGLIA, Rafael. O que é gastronomia molecular? Entenda como funciona essa vertente da gastronomia que usa técnicas da indústria de alimentos. Super Interessante. 2018. Disponível em: <https://super.abril.com.br/ciencia/o-que-e-gastronomia-molecular/>. Acesso em: 18 set. 2021.
BOND, Sarah. Sriracha Caviar. Live eat Learn, 2019. Disponível em: <https://www.liveeatlearn.com/sriracha-caviar/>. Acesso em: 18 set. 2021.
CACURO, Thiago Aguiar. Compósitos de Alginato como Material Inteligente, Modulação de Solubilidade e Objeto de Ensino. 2019. 98 f. Tese (Doutorado) - Curso de Programa de Pós-graduação em Biotecnologia e Monitoramento Ambiental, Departamento de Física-Química e Matemática, Universidade Federal de São Carlos, Sorocaba, 2019. Cap. 8. Disponível em: <https://repositorio.ufscar.br/bitstream/handle/ufscar/12093/Tese%20Doutorado_Final.pdf?sequence=1&isAllowed=y>. Acesso em: 21 set. 2021.
DELIWAY. Gastronomia molecular: o que é e como funciona. o que é e como funciona. 2021. Redação Deliway. Disponível em: <https://www.deliway.com.br/blog/gastronomia-molecular>. Acesso em: 18 set. 2021.
DIRECTO AL PALADAR. Metilcelulosa: creando falsa alarma. 2008. Disponível em: <https://www.directoalpaladar.com/salud/metilcelulosa-creando-falsa-alarma>. Acesso em: 21 set. 2021.
FOUQUET, Virginie. Mousse de Carambar (Siphon). ChefNini. 14 dez. 2009. Disponível em: <https://www.chefnini.com/mousse-de-carambar-siphon/>. Acesso em: 18 set. 2021.
GIL, Maria Júlia Guedes Nunes. Gastronomia Molecular: uma abordagem de investigação para alunos do básico e secundário. 2010. 129 f. Dissertação (Mestrado) - Curso de Química Industrial, Universidade da Beira Interior, Covilhã, 2010. Disponível em: <https://ubibliorum.ubi.pt/handle/10400.6/3925>. Acesso em: 29 ago. 2021.
HAUMONT, Raphaël. Um químico na cozinha: a ciência da gastronomia molecular. Paris: Zahar, 2013. 09-21 p. Tradução de: Celina Portocarrero. Disponível em: <https://silo.tips/download/um-quimico-na-cozinha >. Acesso em: 29 ago. 2021.
MASSACRITICA. Ácido algínico (não são cerejas). 2009. Disponível em: <https://www.blogs.unicamp.br/massacritica/2009/04/10/acido_alginico_nao_sao_cerejas/>. Acesso em: 21 set. 2021.
MIESSA, Vanessa Prestes. Introdução à gastronomia. Instituto federal do Paraná - Educação a distância, Rede e-tec, Curitiba-PR; 2013. Disponível em: <http://proedu.rnp.br/bitstream/handle/123456789/1350/Introducao%20a%20gastronomia.pdf?sequence=1>. Acesso em: 22 set. 2021.
MONETA, Marina; BARBOSA, Maria de Lourdes de Azevedo. Cultura de Consumo Alimentar e Simbologias da Cozinha Molecular: uma perspectiva baseada nos discursos de chefes de cozinha. In: SEMINÁRIO DA ASSOCIAÇÃO NACIONAL PESQUISA E PÓS-GRADUAÇÃO EM TURISMO, 8., 2011, Bauneario Camburiu. Resumo [...] . Balneário Camburiu: Univali, 2011. p. 1-12. Disponível em: <https://www.anptur.org.br/anais/anais/files/8/115.pdf>. Acesso em: 17 set. 2021.
MSK IGREDIENTES. Ice cream & sobert. 2018. Disponível em: <http://msk-ingredients.com/molecular-gastronomy/ice-cream-and-sorbet-stabilisers>. Acesso em: 18 set. 2021.
ROCHA, Luís António Ferreira. Uso de gelana como uma nova abordagem na purificação de biomoléculas. 2012. 40 f. Dissertação (Mestrado) - Curso de Bioquímica, Universidade da Beira Interior, Covilhã, 2012. Cap. 2. Disponível em: <https://ubibliorum.ubi.pt/bitstream/10400.6/3257/1/Disserta%C3%A7%C3%A3o%20Luis%20Rocha.pdf>. Acesso em: 21 set. 2021.
SOUZA, Ayala Oliveira do Vale. DIGESTIBILIDADE
APARENTE DE RAÇÕES COM MACROALGA (Gracilaria birdiae) PARA AVES. 2017.
30 f. TCC (Graduação) - Curso de Zootecnia, Centro de Ciências Agrarias,
Universidade Federal Rural do Semiárido, Mossoró, 2017. Cap. 19. Disponível em:
<https://repositorio.ufersa.edu.br/bitstream/prefix/5263/1/AyalaOVS_MONO.pdf>.
Acesso em: 21 set. 2021








Comentários
Postar um comentário